一、符合标准及适用范围:
GEST-121A触摸屏体积电阻率测试仪*符合国家标准GB/T1410-2006、ASTM D257-99、GB/T 2439-2001、GB/T 10581-2006、GB/T 1692-2008、GB/T 10064-2006、GB/T 12703.4-2010、ASTM D257等标准要求。本仪器配不同的测量电极(夹具)可以测量不同材料(固体、粉体或液体)的体积电阻率和表面电阻率或电导率。本仪器除能测电阻外,还能直接测量微弱电流。
GEST-121A支持触摸屏设置及显示,支持微型打印机,同时支持USB与电脑通讯,配备电脑软件,实时显示测量曲线,支持历史数据存储,并支持同类材料实验结果对比分析。
二、技术指标
1、电阻测量范围: 0.01×104Ω ~1×1018Ω。
2、电流测量范围: 2×10-4A~1×10-16A
3、显 示 方 式:触摸屏、电阻、电阻率、电流、电压。
4、内置测试电压: 10V 、50V、100V、250V、500V、1000V(任意切换)
5、基本准确度:1%
6、使用环境: 温度:0℃~40℃,相对湿度<80%
7、供电形式: AC 220V,50HZ,功耗约5W
8、仪器尺寸: 360*350*170mm
9、质量: 主机约5KG
10、全自动测量、体积小、重量轻、准确度高,电阻、电阻率双显示,性能好稳定、读数方便
11、所有测试电压(10V/50V/100/250/500/1000V) 测试时电阻结果直读,免去老式高阻计在不同测试电压下或不同量程时要乘以系数等使用不便的麻烦,使测量超高电阻就如用万用表测量普通电阻样简便。
三、配置:
主机 一台
屏蔽箱+电极 一套
测试线 五条
说明书+合格证+保修卡 各一份
GB1672液体增塑剂体积电阻率测定仪相关资料
1.主题内容与适用范围:
本标准规定了液体增塑剂的体积电阻率的测定方法
本标准适用于测定液体增塑剂的体积电阻率,其他液体助剂也可以参照本测定方法。
2.体积电阻率的定义:
是在试样体积电流方向的直流电场强度与该处电流密度之比,以Ω·m表示。
3.试样:
3.1液体增塑剂试样每次用40mI左右。
1.2试样应无气泡及杂质缺陷。
1.3试样应在温度23±2℃、相对湿度60%~70%的条件下放置2 h 以上。
4.测试仪器及电极:
4.1高阻计
高阻计测试时应满足下列要求:
a.高阻计测量范围应包括1 x 106 ~ 1 x 1012Ω。
b.值大于1012Ω时,测量误差小于±20%,阻值等于或小于1012Ω时,测量误差应小于±10%。
c.零点漂移每小时不大于全标尺的4%。
d.输入接线的绝缘电阻应大于仪器输入电阻的100倍。
e.测试电路应有良好屏蔽。
f.仪器应定期进行校验。
4.2电极
电极应由黄铜或不锈钢制成,高压电极内径146mm,测量电极外径120mm,护环宽度8mm,测量电极与高压电极的间隙为2mm,电极工作面粗糙为1.6以下。电极的形状和尺寸如图1 所示。
图1
1.接线头;2-护环;3-撑块;4-测量电极;
5-高压电极;6、7-接线头;8-撑块;
5.实验步骤:
5.1 将经处理后的试样倒入高压电极内,使液面刚好和测量表面全部解除。
5.2 测试须在温度23±2℃及相对湿度60%~70%环境中进行。
5.3 实验时,对试样所加的电压为100~500V的直流电压。
5.4 将电极接入仪器测量端,调整仪器,按仪器说明书进行操作。加上试验电压1min,读取电阻的指示值,同时须对试样连续测定两次,取两次结果算术平均值。每次测定后试样 及 地 极 要 放 电 1 min。
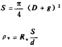
6.试验结果:
式中:Pv--- 体积电阻率,Ω·m;
Rv--- 体积电阻,Ω;
S--- 平板测量电极的有效面积,m2;
D--- 平板测量电极直径,m;
G--- 测量电极与保护电极间隙宽度,m ;
B--- 试样厚度,m。
体积电阻率的计算结果取两位有效数字。
7.试验报告
试验报告应包括下列内容:
a.试样的型号、名称、制造厂名称和制造日期
b.试验环境温度和相对湿度。
c.试验仪器和外施电压。
d.测量数据及计算结果。
e.试验日期、试验人员及审核人员。
