ASTM D150-11
实心电绝缘材料的交流损耗特性和
电容率(介电常数)的标准试验方法1
本标准是以固定代号D150发布的。其后的数字表示原文本正式通过的年号;在有修订的情况下,为上一次的修订年号;圆括号中数字为上一次重新确认的年号。上标符号(ε)表示对上次修改或重新确定的版本有编辑上的修改。
本标准经批准用于国防部所有机构。
1.范围
1.1 本试验方法包含当所用标准为集成阻抗时,实心电绝缘材料样本的相对电容率,耗散因子,损耗指数,功率因子,相位角和损耗角的测定。列出的频率范围从小于1Hz到几百兆赫兹。
注1:在普遍的用法,“相对”一词经常是指下降值。
1.2 这些试验方法提供了各种电极,装置和测量技术的通用信息。读者如对某一特定材料相关的议题感兴趣的话,必须查阅ASTM标准或直接适用于被测试材料的其它文件。2,3
1.3 本标准并没有*列举所有的安全声明,如果有必要,根据实际使用情况进行斟酌。使用本规范前,使用者有责任制定符合安全和健康要求的条例和规范,并明确该规范的使用范围。特殊危险说明见7.2.6.1和10.2.1。
1 本规范归属于电学和电子绝缘材料ASTM D09委员会管辖,并由电学试验D09.12附属委员分会直接管理。
当前版本核准于2011年8月1日。2011年8月发行。原版本在1922年批准。前一较新版本于2004年批准,即为 D150-98R04。DOI:10.1520/D0150-11。
2 R. Bartnikas, 第2章, “交流电损耗和电容率测量,” 工程电介质, Vol. IIB, 实心绝缘材料的电学性能, 测量技术, R. Bartnikas, Editor, STP 926,ASTM, Philadelphia, 1987.
3 R. Bartnikas, 第1章, “固体电介质损耗,” 工程电介质,Vol IIA, 实心绝缘材料的电学性能: 分子结构和电学行为, R. Bartnikas and R. M. Eichorn, Editors, STP 783, ASTM, Philadelphia, 1983.
2.引用文件
2.1 ASTM标准:4
D374 固体电绝缘材料厚度的标准试验方法
D618 试验用塑料调节规程
D1082 云母耗散因子和电容率(介电常数)试验方法
D1531 用液体位移法测定相对电容率(介电常数)与耗散因子的试验方法
D1711 电绝缘相关术语
D5032 用饱和甘油溶液方式维持恒定相对湿度的规程
E104 用水溶液保持相对恒定湿度的标准实施规程
E197 室温之上和之下试验用罩壳和服役元件规程(1981年取消)5
3.术语
3.1 定义:
3.1.1 这些试验方法所用术语定义以及电绝缘材料相关术语定义见术语标准D1711。
3.2 本标准术语定义:
3.2.1 电容,C,名词——当导体之间存在电势差时,导体和电介质系统允许储存电分离电荷的性能。
3.2.1.1 讨论——电容是指电流电量 q与电位差V之间的比值。电容值总是正值。当电量采用库伦为单位,电位采用伏特为单位时,电容单位为法拉,即:
C=q/V (1)
3.2.2 耗散因子(D),(损耗角正切),(tanδ),名词——是指损耗指数(K'')与相对电容率(K')之间的比值,它还等于其损耗角(δ)的正切值或者其相位角(θ)的余切值(见图1和图2)。
D=K''/K' (2)
4 相关ASTM标准,可浏览ASTM,www.astm。。org或与ASTM客服service@astm.org。ASTM标准手册卷次信息,可参见ASTM标准文件汇总。
5 该历史标准的较后批准版本参考www.astm。。org。
3.2.2.1 讨论——a:
D=tanδ=cotθ=Xp/Rp=G/ωCp=1/ωCpRp (3)
式中:
G=等效交流电导,
Xp=并联电抗,
Rp=等效交流并联电阻,
Cp=并联电容,
ω=2πf(假设为正弦波形状)
耗散因子的倒数为品质因子Q,有时成为储能因子。对于串联和并联模型,电容器耗散因子D都是相同的,按如下表示为:
D=ωRsCs=1/ωRpCp (4)
串联和并联部分之间的关系满足以下要求:
Cp=Cs/(1 D2) (5)
Rp/Rs=(1 D2)/D2=1 (1/D2)=1 Q2 (6)

图1 并联电路的矢量图

图2 串联电路的矢量图
3.2.2.2 讨论——b:串联模型——对于某种具有电介质损耗(图3)的绝缘材料,其并联模型通常是适当的模型,其总是能和偶尔要求模拟在单频率下电容Cs与电阻Rs串联(图4和图2)的某个电容器。
图3 并联电路

图4 串联电路
3.2.3 损耗角(缺相角),(δ),名词——该角度的正切值为耗散因子或反正切值K''/K'或者其余切值为相位角。
3.2.3.1 讨论——相位角和损耗角的关系见图1和图2所示。损耗角有时成为缺相角。
3.2.4 损耗指数,K''(ε''),名词——相对复数电容率虚数部分的大小;其等于相对电容率和耗散因子的乘积。
3.2.4.1 讨论——a——它可以表示为:
K''=K' D=功率损耗/(E2×f×体积×常数) (7)
当功率损耗采用瓦特为单位,施加电压采用伏特/厘米为单位,频率采用赫兹为单位,体积(是指施加了电压的体积)采用立方厘米为单位,此时的常数值为5.556×10-13。
3.2.4.2 讨论——b——损耗指数是上协定使用的术语。在美国,K''以前成为损耗因子。
3.2.5 相位角,θ,名词——该角度的余切值为耗散因子,反余切值K''/K',同时也是施加到某一电介质的正弦交流电压与其形成的具有相同频率的电流分量之间的相位角度差值。
3.2.5.1 讨论——相位角和损耗角之间的关系见图1和图2所示。损耗角有时也
称为缺相角。
3.2.6 功率因子,PF,名词——某一材料消耗的功率W(单位为瓦特)与有效正弦电压V和电流I之间乘积(单位为伏特-安)的比值。
3.2.6.1 讨论——功率因子可以采用相位角θ的余弦值(或损耗角的正弦值δ)来表示:
(8)
当耗散因子小于0.1时,功率因子与耗散因子之间的差值小于0.5%。可从下式找到它们的准确关系:
(9)
3.2.7 相对电容率(相对介电常数)(SIC)K'(εr),名词——相对复数电容率的实数部分。它也是采用某一材料作为电介质的某一给定形状电极等效并联电容Cp与采用真空(或空气,适用于多数实际用途)作为电介质的相同形状电极电容Cv之间的比值。
K'=Cp/Cv (10)
3.2.7.1讨论——a——在普遍的用法,“相对”一词经常是指下降值。
3.2.7.2 讨论——b——从经验来看,真空在各处必须采用材料来替代,因为其能显著改变电容。电介质等效电路假设包含一个电容Cp,该电容与电导并联。
3.2.7.3 讨论——c——Cx视为图3所示的等效并联电容Cp。
3.2.7.4 讨论——d——当耗散因子为0.1时,串联电容大于并联电容,但是两者差值小于1%,而当耗散因子为0.03时,两者差值小于0.1%。如果测量电路获得串联部分的结果,在计算修正值和电容率之前,并联电容必须由公式5计算得出。
3.2.7.5 讨论——e——干燥空气在23℃和101.3kPa标准压力下的电容率为1.000536(1)。6其从整体的背离值K'-1与温度成反比,同时直接与大气压力成正比。当空间在23℃下达到水蒸气饱和时,电容率增加至为0.00025(2,3),同时随着温度(单位为℃)从10到27℃近似发生线性变化。对于局部饱和,增加值与相对湿度成正比。
4.试验方法摘要
4.1 电容和交流电阻测量在一个样本上进行。相对电容率等于样本电容除以(具有相同电极形状)真空电容计算值,同时很大程度上取决于误差源分辨率。耗散因子通常与样本几何形状无关,同时也可以依据测量值计算得出。
4.2 本方法提供了(1)电极,装置和测量方法选择指南;和(2)如何避免或修正电容误差的指导。
4.2.1 一般的测量考虑:
边缘现象和杂散电容 受保护电极
样本几何形状 真空电容计算
边缘,接地和间隙修正
4.2.2 电极系统—接触式电极
电极材料 金属箔片
导电涂料 烧银
喷镀金属 蒸发金属
液态金属 刚性金属
水
4.2.3 电极系统—非接触式电极
固定电极 测微计电极
液体置换法
6 括号里的粗体字参阅这些试验方法附属的参考文献清单。
4.2.4 电容和交流损耗测量装置和方法选择
频率 直接和替代方法
两终端测量 三终端测量
液体置换法 精度考虑
5.意义和用途
5.1 电容率——绝缘材料通常以两种不同方式来使用,即(1)用于固定电学网络部件,同时让其彼此以及与地面绝缘;(2)用于起到某一电容器的电介质作用。在靠前种应用中,通常要求固定的电容尽可能小,同时具有可接受且一致的机械,化学和耐热性能。因此要求电容率具有一个低值。在第二种应用中,要求电容率具有一个高值,以使得电容器能够在外型上能尽可能小。有时使用电容率的中间值来评估在导体边缘或末端的应力,以将交流电晕降至较小。影响电容率的因子讨论见附录X3。
5.2 交流损耗——对于这两种场合(作为电学绝缘材料和作为电容器电介质),交流损耗通常必须是比较小的,以减小材料的加热,同时将其对网络剩余部分的影响降至较小。在高频率应用场合,特别要求损耗指数具有一个低值,因为对于某一给定的损耗指数,电介质损耗直接随着频率而增大。在某些电介质结构中,例如试验用终止衬套和电缆所用的电介质,通常电导增加可获得损耗增大,这有时引入其来控制电压梯度。在比较具有近似相同电容率的材料时或者在材料电容率基本保持恒定的条件下使用任何材料时,这可能有助于考虑耗散因子,功率因子,相位角或损耗角。影响交流损耗的因子讨论见附录X3。
5.4 相关性——当获得适当的相关性数据时,耗散因子或功率因子有助于显示某一材料在其它方面的特征,例如电介质击穿,湿分含量,固化程度和任何原因导致的破坏。然而,由于热老化导致的破坏将不会影响耗散因子,除非材料随后暴露在湿分中。当耗散因子的初始值非常重要的,耗散因子随着老化发生的变化通常是及其显著的。
6.一般测量考虑
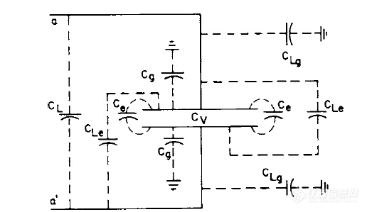
6.1 边缘现象和杂散电容——这些试验方法是以电极之间的样本电容测量,以及相同电极系统的真空电容(或空气电容,适用于多数实际用途)测量或计算为基础。对于无保护的两电极测量,要求采用两个测定值来计算电容率,而当存在不期望的边缘现象和杂散电容时(它们将包含在测量读数中),变得相当复杂。对于测量用所放置样本之间的两个无保护平行板电极场合,边缘现象和杂散电容见图5和图6所述。除了要求的直接电极之间电容Cv之外,在终端a-a'看到的系统包括以下内容:

图5 杂散电容,无保护电极

图6 无保护电极之间的通量线
Ce=边缘现象或边缘电容,
Cg=每个电极外表面的接地电容,
CL=连接导线之间的电容,
CLg=接地导线的电容,
CLc=导线和电极之间的电容。
只有要求的电容Cv是与外部环境无关,所有其它电容都在一定程度上取决于其它目标的接近度。有必要在两个可能的测量条件之间进行区分,以确定不期望电容的影响。当一个测量电极接地时,情况经常是这样的,所述的所有电容与要求的Cv并联,除了接地电极的接地电容及其导线之外。如果Cv放入一个试验箱之内,同时试验箱墙壁具有保护定位,连接到试验箱的导线也受到保护,则接地电容可以不再出现,此时在a-a'处的电容看起来只包括Cv和Ce。对于某一给定电极布置,当电介质为空气时,可以计算得出边缘电容Ce,同时该计算值具有适当的精度。当某一样本放置在电极之间时,边缘电容值可能发生变化,此时要求使用一个边缘电容修正值,该修正值可见表1给出的信息。在许多条件下,已经获得了经验性修正值,这些修正值见表1所示(表1适用于薄电极场合,例如箔片)。在日常工作中,当较佳精度不作要求时,很方便使用无屏蔽的两电极系统,同时进行适当的修正。因为面积(同时因此Cv)以直径平方级增大时,然而周长(同时因此Ce)随着直径线性增大时,由于忽略边缘修正导致的电容率百分比误差随着样本直径增大而减小。然而,为进行准确得测量,有必要使用受保护的电极。
6.2 受保护电极——在受保护电极边缘的边缘现象和杂散电容实际上可通过增加一个按图7和图8所示的保护电极来消除。如果试验样本和保护电极越过受保护电极的延伸距离至少为2倍的样本厚度,同时保护间隙非常小,受保护区域的电场分布将与当真空为电介质时存在的分布相同,同时这两个静电容的比值为电容率。而且,激活电极之间的电场可以进行定义,真空电容也可以计算得出,其精度只受到尺寸已知的精度的限制。由于这个原因,受保护电极(三终端)方法将用于作为仲裁方法,除非另有协定。图8显示了一种完整受保护和屏蔽电极系统的图解。尽管保护通常被接地,所示布置允许接地或测量电极,或者没有电极能容纳被使用的特殊三终端测量系统。如果保护接地,或者连接到测量电路中的一个保护终端上,测量的电容为两个测量电极之间的静电容,无保护电极和导线的接地电容与要求的静电容进行并联连接。为消除该误差源,采用一个屏障连接到保护上来包围无保护电极,如图8所示。除了那些总是不方便或不实际的,且限制频率小于几兆赫兹的保护方法之外,已经设计出使用特殊电池和程序的技术,采用两终端测量,精度相当于受保护测量所获得的精度。此处所述方法包括屏蔽测微计电极(7.3.2)和液体置换方法(7.3.3)。
6.3 样本几何形状——为测定某一材料的电容率和耗散因子,优选薄板样本。圆柱形样本也可以使用,但是通常具有较低的精度。电容率较大不确定度来源是样本尺寸测定,特别是样本厚度测定。因此,厚度应足够大以允许其测量值具有要求的精度。选择的厚度将取决于样本生产的方法和可能的点到点变化。对于1%精度,厚度为1.5mm(0.06in)通常是足够的,尽管对于较大的精度,要求使用一个较厚的样本。当使用箔片或刚性电极时,另一误差源是电极和样本之间的不可以避免的间隙。对于薄样本,电容率误差可大至25%。类似误差在耗散因子中也会产生,尽管当箔片电极涂覆了一种油脂时,两种误差不可能具有相同的大小。为在薄样本上获得较准确的测量值,使用液体置换方法(6.3.3)。该方法降低了或*消除了样本的电极需求。厚度必须进行测定,测量时,在电学测量所用的样本区域上进行系统性地分布测量,厚度测量值均匀性应在±1%的平均厚度之内。如果样本整个区域将被电极覆盖,同时如果已知材料密度,可通过称量法来测定平均厚度。样本直径选择应使得能提供一个具有要求精度的样本电容测量值。采用受到良好保护和遮蔽的装置,将没有困难测量电容为10pF,分辨率为1/1000的样本。如果将要测试一个低电容率的厚样本,则可能将需要直径大于等于100mm,以获得要求的电容精度。在测量较小值的耗散因子时,关键点是电极的串联电阻应不会有助于产生相当大的扩散因子,同时测量网络没有大电容的电阻应与样本进行并联连接。这些观点的靠前点是偏好厚样本;第二点建议大区域的薄样本。测微计电极方法(6.3.2)可用于消除串联电阻的影响。使用一个受保护样本固定架(图8)来将外部电容降至较低。
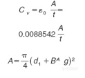
6.4 真空电容计算——可以较准确计算电容所用的实际形状为平坦平行板和同轴圆筒,电容计算用公式见表1所示。这些公式以测量电极之间的均匀电场,同时在边缘没有边缘现象为基础。以此为基础计算的电容也就是熟知的电极之间静电容。
表1 真空电容和边缘修正值的计算(见8.5)
注1:所用符号标识见表2。
电极类型 | 真空内电极之间静电容,pF | 在某一边缘的杂散电场修正值,pF |
带防护环的圆盘形电极:
不带防护环的圆盘形电极: 电极直径=样本直径:
| ![]() |
其中
|
小于样本的等效电极:
| ![]() |
其中:=样本允许发生钝态的近似值,同时a< |
不等效电极: |
其中:=样本允许发生钝态的近似值,同时a< | |
带保护环的圆柱形电极: | ![]() | ![]() |
不带保护环的圆柱形电极:
| ![]() |
其中:=样本允许发生钝态的近似值。 |
A 保护间隙的修正值见附录X2。
6.5 边缘,接地和间隙修正——表1给出的边缘电容计算公式是以发表的论文(4)为基础的经验公式(见8.5)。它们采用皮法拉/厘米周长来表示,因此它们与电极形状无关。目前意识到它们在尺寸上是不准确的,但是它们与其它被提议的公式相比,其更加接近真实的边缘电容。接地电容不能通过目前已知的任何公式来进行计算。当必须对包含接地电容的电容进行测量时,建议使用特殊工装来经验测定该电容值。在两终端装置测量的电容和由样本电容率和尺寸计算的电容之间的差值即为接地电容和边缘电容的相加值。边缘电容可采用表1的某一公式来进行计算。只要保持导线和电极的物理布置,接地电容将保持为恒定的,同时经验测定值可用于修正随后的电容测量值。一个受保护电极的有效面积大于其实际面积,两者差值大约为1/2的保护间隙面积(5,6,18)。因此,圆形电极直径,矩形电极每个尺寸或圆柱形电极长度将以该间隙宽度进行递增。当间隙宽度g与样本厚度t的比值相当大时,受保护电极有效尺寸增加值稍微小于间隙宽度。该案例计算详情见附录X2所述。
表2 非接触式电极的电容率和耗散因子的计算
电容率 | 耗散因子 | 符号标识 |
空气中的测微计电极(带保护环):
或者,如果to调节到一个新值to',则 | ![]() | △C=当嵌入样本( 当电容增大时)时的电容变化, C1=样本固定时的电容, △D=当嵌入样本时的耗散因子较大值, Dc=样本固定时的耗散因子, Df=液体耗散因子, to=平行板间距,mm, t=样本平均厚度,mm, M=to/t-1, Cf=只有液体的Kf'Cv电容, δo=真空电容率(0.0088542pF/mm), A=电极面积,mm2(如果两个电极不等效,则该值较小), Kf'=在试验温度时的液体电容率(对于23℃,50%RH的空气,该值=1.00066), Cv=被考虑区域的真空电容(εoA/to,pF), do=内侧电极外径, d1=样本内径, d2=样本外径, d3=外侧电极内径, g=保护间隙,mm d1,2或3=直径,mm(见草图) Cv=真空电容 B=1-2δ(见附录X2.1.3) (注释:ALSO排出了B之后的//*//(两处)和附录X2的引用脚注)。 Ce=边缘电容 ln=自然对数 Kx'=样本电容率(表1计算得出的近似值) p=(低电压)电极测量周长,mm I=(低电压)电极测量长度,mm 注:在这些公式中,C和D为电池性能值,电池具有电位以能从测量回路(当使用平行置换时)的读数中进行要求的计算。参考注3。 注:在两种液体方法的公式中,下表1和2分别是指靠前种和第二种液体。 注:两种液体公式的C值为等效的系列值。 A2=样本浸入液体中时受保护电极的有效面积=(d Bg)2π/4(保护间隙修正见附录X2)。 |
平面电极—液体置换:
| ![]() | |
当样本的耗散因子小于大约0.1时,可使用以下公式:
| ||
圆柱形电极(带保护环)——液体置换
| ||
两种液体方法——平面电极(带保护环) | ||
备注:
GUARD ELECTRODE:保护电极;
GUARDED ELECTRODE:受保护电极;
GUARD GAP:保护间隙;
UNGUARDED ELECTRODE:无保护电极。
图7 受保护平行板电极之间的通量线

备注:
Guard Electrode:保护电极;
Unguarded Electrode:无保护电极。
图8 固体用三终端电池
7.电极系统7
7.1 接触式电极——某一样本与其自带电极(电极材料为以下所列材料之一)一起供应是可以接受的,对于两终端测量,电极应延伸到样本边缘或小于样本。在后一种场合,两种电极在规格上等效或不等效是可以接受的。如果电极尺寸等效,但是小于样本,样本边缘必须越过电极延伸至少2倍的样本厚度。这三个电极规格的选择将取决于电极应用的方便性,同时取决于所采用的测量类型。在电极延伸到样本边缘的场合,边缘修正值(见表1)是较小的,而对于不等效电极,边缘修正值是较大的。当电极延伸到样本边缘,这些边缘必须是锐利的。如果根本是使用附着的电极,当采用一个测微计电极系统时,必须使用这类电极。当等效规格电极小于所用样本时,难于将它们置于中心,除非样本是半透明的或者采用了一种对准工装。对于三终端测量,保护电极宽度应至少为两倍的样本厚度(6,7)。间隙宽度应尽可能小(可以为0.5mm)。对于在较高频率下的耗散因子测量,该类型电极可能不满足要求,因为其串联电阻。使用测微计电极来进行测量。
7.2 电极材料:
7.2.1 金属箔片——厚度为0.0075~0.025mm且涂覆较小量精制凡士林,硅脂,硅油或其它合适低损耗粘合剂的铅或锡箔片通常用于作为电极材料。铝箔片也已经被使用,但是不建议使用,因为其具有刚性以及由于氧化的表面导致高接触电阻的可能性。铅箔片也可能因为其刚性而产生问题。在足够平滑压力下应用这些电极,以排除所有的皱纹,同时过量的粘合剂可以在箔片边缘上工作。一个非常有效的方法是使用一个窄辊,同时沿着表面向外滚压,直到在箔片上没有可见的标记。通过小心处理,粘合剂膜可以减小至0.0025mm。该膜层与样本串联相连,这将总是导致测量的电容率太低,同时耗散因子有可能太高。对于厚度小于0.125mm的样本,这些误差通常变得非常大。对于这类薄样本,只有当膜层耗散因子几乎与样本耗散因子相同时,该耗散因子误差才是可以忽略的。当电极将延伸到边缘,则制造的电极应大于样本,然后切成带小型细磨刀片的边缘。受保护电极和保护电极可采用一个电极制造而成,该电极包含整个表面,通过配有一个窄切割边缘的圆规方式来裁剪一条窄带(可以为0.5mm)来制备电极。
7电极系统补充信息可在研究报告RR:D09-1037中找到,该研究报告可从ASTM总部获得。
7.2.2 导电涂料——某些类型的高导电银涂料,不管是空气干燥还是低温烘烤型类型,都可以从商业渠道获得以作为电极材料使用。它们要有足够的气孔来允许湿分的扩散,从而允许试验样本在电极涂覆之后进行调节。这对于研究湿度影响特别有用。涂料具有应用之后不准备立即使用的缺点。它通常要求整夜空气干燥或低温烘烤,以去除任何溶剂痕迹,因为溶剂痕迹可能增大电容率和耗散因子。当刷涂涂料时,通常不容易获得明确定义的的电极区域,但是通过喷涂涂料以及采用外夹装或压力敏感面罩,可以克服这种局限性。银涂料电极电导率通常足够低,从而在较高频率时产生问题。涂料溶剂不会较久性影响样本是非常重要的。
7.2.3 烧银——烧银电极只适用于玻璃和其它可以承受大约350℃的燃烧温度而不会发生变化的陶瓷。它的高电导率使得电极材料适用于低损耗材料,例如熔融石英,甚至在较高频率下,其某一粗糙表面的能力使得其适合用于作为高电容率材料,例如钛酸盐。
7.2.4 喷涂金属——采用一个喷枪涂覆的低熔点金属提供了一层海绵状膜层,该膜层可用于作为电极材料,由于其粒状结构,因此大体上具有与导电涂料相同的电学电导率和相同的湿分孔隙率。合适的面罩必须使用以获得尖锐的边缘。它容易满足某一粗糙的表面,例如布,但是在薄膜上不能渗透极其小的孔,同时不会产生短路。其在某些表面上的附着性是非常差的,特别是暴露在高湿度或水浸泡之后。导电涂料的优点是没有溶剂的影响,以及在涂覆之后可立刻准备就绪使用。
7.2.5 蒸发金属——作为一种电极材料使用的蒸发金属可能具有不适当的电导率,尤其其极其薄,同时必须采用电镀铜或薄板金属作为底漆。其附着性是适当的,同时其自身具有足够的湿分气孔。在蒸发金属时,使用一种真空系统的必要性是不利的。
7.2.6 液态金属——使用汞电极时,在水银池上浮动样本,同时使用带尖锐边缘的限制环来拦住受保护和保护电极中的汞,如图9所示。当必须测试相当数量的样本时,一种更方便的装置是试验方法D1082中图4所示的试验工装。由于汞蒸气具有毒性,尤其是在高温下,可能存在一些健康危险,因此在使用期间应采取合适的预防措施。在测量薄膜形式的低损耗材料时,例如云母片剥离,汞污染可能引入相当大的误差,这通常将有必要使用干净的汞进行每一次试验。伍德合金或其它低熔点合金可采用类似方式来使用,以在某种程度上降低健康危险。
7.2.6.1 警告——长期认为汞金属蒸汽中毒是工业中的一种危险。暴露极限由政府机构进行设置,同时通常以美国政府工业卫生学者会议8提出的建议为基础。破碎的温度计,气压计和其它使用汞的仪器所溢出的汞浓度可能轻易地超过这些暴露极限。汞作为一种高表面张力和非常重的液体,其将分散成小液滴,同时渗透进入地板中的裂纹和裂缝。这种暴露面积的增加显著增大了在空气中的汞蒸气浓度。任何时候发生溢出时,建议使用商用泄漏应急工具包。汞蒸气浓度容易采用商用嗅探器进行监测。在汞暴露于大气的区域,在作业周围定期进行现场检查。溢出之后进行*地检查。
备注:
Specimen:样本;Mercury:汞
图9 带汞电极的受保护样本
7.2.7 刚性金属——对于光滑,比较厚或者稍微压缩的样本,有时可以使用高压下的刚性电极,特别是对于常规作业。目前已发现直径为10mm的电极在18.0MPa压力下课有助于塑料材料的测量,甚至材料可以薄至0.025mm。直径为50mm的电极在压力下也已经被成功用于较厚的材料。然而,当使用实心电极时,很难避免一层空气膜,同时随着被测材料电容率增大以及其厚度减小,该膜层的影响变得更大。在施加压力之后,样本尺寸将可能继续发生变化,变化时长达到24小时。
7.2.8 水——当在低频率(大约达到1000Hz)进行测量时,下水可作为绝缘电线和电缆测量用的一个电极。操作必须小心,以确保在样本末端的电泄漏可以忽略不计。
7.3 非接触式电极:
7.3.1 固定电极——在不将电极嵌入预制电极系统(电极系统在样本的一侧或两侧存在一条故意的空气间隙)前提下,可以测量具有足够低表面电导率的样本。刚性装配电极系统,确保其包含一个保护电极。为获得相同的精度,如果使用直接接触电极,要求对电极间距和样本厚度进行更准确的测定。然而,如果电极系统充满某一种液体,则可能消除这些局限性(见7.3.3)。
8 美国政府卫生学者会议,Building D-7, 6500 Glenway Ave., Cincinnati, OH 45211.
7.3.2 测微计电极——图10所示的测微计电极系统已开发用于(8)排除在高频率下连接导线和测量电容器的串联电感和电阻导致的误差。内置的微调电容器也提供用于电纳变化方法。同时不管试验样本是否在电路之内还是之外,都能保持这些电感和电阻都是相对恒定的。那些尺寸与电极相同或者小于电极尺寸的样本夹紧在电极之间。除非样本表面重叠或磨得非常平,在放入电极系统之前,金属箔片或其等效物必须应用到样本上。如果应用电极,它们也必须是光滑和平直的。在移除样本之后,通过移动测微计电极让其更近的靠在一起,电极系统可制成具有相同电容。当测微计电极系统 小心校准电容变化时,其应用排除了边缘电容,接地电容和连接电容的修正值。在这一方面,在整个频率范围上使用电极系统是有好处的。一个缺点是电容校准没有传统多层可变电容器的电容校准那么准确,同时还不能直接读数。在频率小于1MHz时,当导线的串联电感和电阻的影响可以忽略不计时,测微计电极的电容校准可以采用一个标准电容器的电容校准来替代,该标准电容器可与测微计电极系统并联或者位于电桥的电容臂附近。样本之内和之外的电容变化可以该电容器形式来进行测量。某一测微计电极系统的小误差来源是电极系统校准时包含的电极边缘电容,当存在与电极直径相同的电介质时,该边缘电容将发生稍微变化。在实际中,可让样本直径比电极直径小2倍的样本厚度(3),则可以排除该误差。当没有电极附着在样本上时,表面电导率可能导致低损耗材料耗散因子测量产生严重的误差。当测量用电桥具有一个保护电路时,则使用受保护测微计电极将是有利的。边缘现象等的影响几乎可以*排除。当电极和固定架都制备得非常好时,则没有必要进行电容校准,因为电容可由电极间距和直径计算得出。然而测微计将要求进行校准。当使用受保护测微计电极时,在样本上使用电极将是不可行的,除非样本直径小于受保护电极。
备注:
Micrometer Screw:测微计螺钉;Bellows:风箱;Grounded Electrode:接地电极;
Specimen:样本;Vernier Capacitor:微型电容器;High Electrode:高电极;
Grounded Terminals:接地终端

















